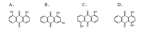
问题 更新时间2023/12/26 20:05:00 用5% Na2CO3水溶液萃取总蒽醌乙醚溶液,碱水层的成分是_______。·A·B·C·D 答案 登录 注册 单选题·B 出自:青书学堂 >> 河南工业大学钢筋混泥土结构