搜题
首页
>
青书学堂
>
西南石油大学石油技术经济学
问题 更新时间2024/1/18 11:16:00
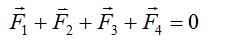
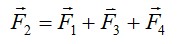
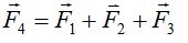
图中各个力之间的关系()。
·
·
·
·
答案
登录
注册
单选题
·
出自:
青书学堂
>>
西南石油大学石油技术经济学
王老师:
19139051760
(拨打)
复制微信
第1题
质点系的惯性力系向一点简化,一般得一主矢Rg’和一主矩Mog。以下几种说法中,哪些是正确的
·惯性力系简化的主矢Rg’与简化中心位置有关;
· 惯性力系简化的主矩Mog与简化中心位置有关;
·惯性力系简化的主矢Rg’与简化
点击查看答案
第2题
列车在启动过程中,设其第一节车厢的挂钩受力大小为F1;中间任一节车厢的挂钩受力大小为Fi;最后一节车厢的挂钩的受力大小为Fn,则
·F1=Fi=Fn
·F1>Fi>Fn
·F1<Fi<Fn
·
点击查看答案
第3题
将刚体平面运动分解为平移和转动,它相对于基点A的角速度和角加速度分别用
点击查看答案
第4题
点的合成运动中速度合成定理的速度四边形中
·绝对速度为牵连速度和相对速度所组成的平行四边形的对角线;
· 牵连速度为绝对速度和相对速度所组成的平行四边形的对角线;
·相对速度为牵连速度和绝对速度所组成的平行四边形的对角线;
点击查看答案
负责人:王老师
19139051760
(拨打)
圆梦题库移动版 ICP证:
豫ICP备11005330号-1