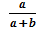
问题 更新时间2024/3/2 13:02:00 一盒产品中有a 只正品,b 只次品,有放回地任取两次,第二次取到正品的概率为()···· 答案 登录 注册 单选题· 出自:青书学堂 >> 佳木斯大学语言治疗学