搜题
首页
>
青书学堂
>
佳木斯大学语言治疗学
问题 更新时间2024/4/6 8:57:00
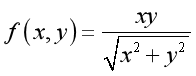
在(0,0)处不连续。( )
·正确
·错误
答案
登录
注册
判断题
·正确
出自:
青书学堂
>>
佳木斯大学语言治疗学
王老师:
19139051760
(拨打)
复制微信
第1题
若
点击查看答案
第2题
下列各函数中,在(0,0)点连续的是( )
·
点击查看答案
第3题
极限
点击查看答案
第4题
点击查看答案
负责人:王老师
19139051760
(拨打)
圆梦题库移动版 ICP证:
豫ICP备11005330号-1