搜题
首页
>
青书学堂
>
佳木斯大学语言治疗学
问题 更新时间2024/4/6 8:58:00
·正确
·错误
答案
登录
注册
判断题
·错误
出自:
青书学堂
>>
佳木斯大学语言治疗学
王老师:
19139051760
(拨打)
复制微信
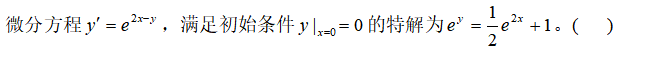
第1题
点击查看答案
第2题
可分离变量微分方程不都是全微分方程。( )
·正确
·错误
点击查看答案
第3题
微分方程的通解中包含了它所有的解。( )
·正确
·错误
点击查看答案
第4题
任意微分方程都有通解。( )
·正确
·错误
点击查看答案
负责人:王老师
19139051760
(拨打)
圆梦题库移动版 ICP证:
豫ICP备11005330号-1