搜题
首页
>
青书学堂
>
佳木斯大学语言治疗学
问题 更新时间2024/4/6 8:58:00
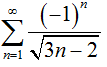
级数
( )
·发散
·绝对收敛
·条件收敛
·无法判断敛散性
答案
登录
注册
单选题
·条件收敛
出自:
青书学堂
>>
佳木斯大学语言治疗学
王老师:
19139051760
(拨打)
复制微信
第1题
幂级数
点击查看答案
第2题
幂级数
点击查看答案
第3题
函数
点击查看答案
第4题
点击查看答案
负责人:王老师
19139051760
(拨打)
圆梦题库移动版 ICP证:
豫ICP备11005330号-1