搜题
首页
>
青书学堂
>
佳木斯大学语言治疗学
问题 更新时间2024/5/24 19:07:00
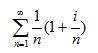
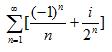
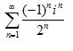
下列级数中,绝对收敛的级数为( )。
·
·
·
·
答案
登录
注册
单选题
·
出自:
青书学堂
>>
佳木斯大学语言治疗学
王老师:
19139051760
(拨打)
复制微信
第1题
点击查看答案
第2题
下列曲面中不是可展曲面的是 ( ).
·柱面
·锥面
·曲线的切线曲面
·马鞍面
点击查看答案
第3题
曲面的曲纹坐标网成为共轭网的充要条件是 ( ).
·
点击查看答案
第4题
圆x
点击查看答案
负责人:王老师
19139051760
(拨打)
圆梦题库移动版 ICP证:
豫ICP备11005330号-1