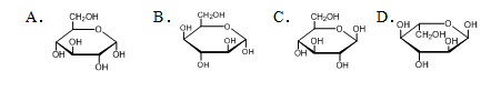
问题 更新时间2023/12/26 20:05:00 下列Haworth投影式中,β-D-吡喃葡萄糖为_______。·A·B·C·D 答案 登录 注册 单选题·C 出自:青书学堂 >> 河南工业大学钢筋混泥土结构