搜题
首页
>
青书学堂
>
河南工业大学钢筋混泥土结构
问题 更新时间2023/12/26 20:05:00
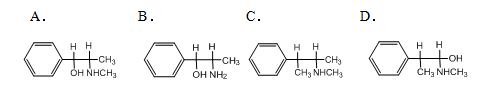
麻黄碱的化学结构为________。
·A
·B
·C
·D
答案
登录
注册
单选题
·A
出自:
青书学堂
>>
河南工业大学钢筋混泥土结构
王老师:
19139051760
(拨打)
复制微信
第1题
大豆素的化学结构为________。
点击查看答案
第2题
下列化合物,化学结构为樟脑的是________
点击查看答案
第3题
下列Haworth投影式中,β-D-吡喃葡萄糖为_______。
点击查看答案
第4题
大黄酸的化学结构为________。
点击查看答案
负责人:王老师
19139051760
(拨打)
圆梦题库移动版 ICP证:
豫ICP备11005330号-1