搜题
首页
>
青书学堂
>
佳木斯大学语言治疗学
问题 更新时间2024/4/6 8:58:00
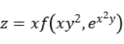
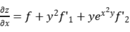
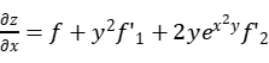
设
,其中f具有一阶连续偏导数,则下列计算结果正确的是( )
·
·
·
·
答案
登录
注册
单选题
·
出自:
青书学堂
>>
佳木斯大学语言治疗学
王老师:
19139051760
(拨打)
复制微信
第1题
设函数
点击查看答案
第2题
以下级数收敛的是( )
·
点击查看答案
第3题
级数
点击查看答案
第4题
幂级数
点击查看答案
负责人:王老师
19139051760
(拨打)
圆梦题库移动版 ICP证:
豫ICP备11005330号-1